News
Article
This excerpt from The Concise Handbook of Analytical Spectroscopy, which spans five volumes, serves as a comprehensive reference, detailing the theory, instrumentation, sampling methods, experimental design, and data analysis techniques for each spectroscopic region.
The rapid advancement in utilizing electromagnetic energy for qualitative and quantitative spectroscopic measurements has significantly enhanced our ability to analyze solid and liquid materials, including biospecimens. This technology is now extensively used to determine chemical compositions, classify materials, and gain insights into material interactions, leading to widespread adoption across various academic and commercial fields.
The Concise Handbook of Analytical Spectroscopy, spanning five volumes, serves as a comprehensive reference, detailing the theory, instrumentation, sampling methods, experimental design, and data analysis techniques for each spectroscopic region (1). It includes essential reference tables, figures, and spectra. The handbook addresses practical applications in fields such as medicine, biomedical sciences, optics, physics, and commercial analysis, covering both qualitative and quantitative spectroscopic techniques and advanced methods.
Designed for a diverse readership, this handbook is a valuable resource for students, commercial developers, quality scientists, researchers, and technologists. It is particularly relevant for graduate and undergraduate students and research libraries in academic, commercial, and government sectors involved in medicine, biology, physics, optics, biophysics, manufacturing, quality control, and industrial research. The five volumes are organized as follows (1):
Volume 1: Ultraviolet Spectroscopy
Volume 2: Visible Spectroscopy
Volume 3: Near-infrared Spectroscopy
Volume 4: Infrared Spectroscopy
Volume 5: Raman Spectroscopy
There are a number of physical constants and relationships that are valuable for the theoretical and practical analytical spectroscopist. Tables I–XVII provide those constants most encountered while performing analytical science using vibrational and electronic spectroscopy.





The following are basic descriptions of the various spectroscopic techniques used in today’s laboratories to include ultraviolet (UV), visible (Vis), near-infrared (NIR), infrared (IR), and Raman spectroscopy.
The ultraviolet region is specified as 190 to 360 nanometers, nm, or 10-9 meters. The types of electrons that can be excited by ultraviolet (UV)/visible (vis) light are few: nonbonding electrons; electrons in single bonds; and electrons involved in double and triple bonds. These may be excited to several excited states. The distinction between molecules is that the ability to “jump” to higher energy states is affected by attached moieties. For example, double bonds, conjugations, and elements, such as oxygen, bromine, and others with pairs of nonbonding electrons. As a consequence, most elements with UV-vis absorbances have specific wavelengths at which their peak absorbances occur. These peaks may be used to identify a particular molecule. The UV-vis region is not as “rich” in information as the IR spectrum, but it reveals enough detail to enable a comparison of a material with a previously identified substance. A common use of this capability is in the pharmaceutical industry, where UV-vis detectors are frequently used with HPLC instruments as a final check before a drug product is released for sale to consumers. The various moieties or chromophores associated with ultraviolet absorption include nitriles (R-C≡N-), 160 nm; acetylenes (-C≡C-), 170 nm; alkenes (>C=C<), 175 nm; alcohols (R-OH), 180 nm and 175–200 nm; ethers (R-O-R), 180 nm; ketones (R-C=O -R’ ), 180 nm and 280 nm; amines, primary (R-NH2), 190 nm and 200–220 nm; aldehydes (R-C=O–H), 190 nm and 290 nm; carboxylic acids (R-C=O–OH), 205 nm; esters (R-C=O–OR), 205 nm; amides, primary (R-C=O–NH2), 210 nm; thiols (R-SH), 210 nm; nitrites (R-NO2), 271 nm; and azo-group (R-N=N-R), 340 nm.
Visible light (360 to 780 nm) is the light or electromagnetic energy seen by the human eye. The actual light demonstrated by different colors is visible light and spectra in the visible region are subjected to specific mathematical algorithms to determine color coordinates or color space coordinates to enable specific colors and brightness or darkness to be precisely specified in mathematical terms. The aspects of color measurement and computation are contained in the text volume on visible spectroscopy and may be located in the index for this set of volumes. The terms “color measurement” and “visible spectroscopy” are the main index topic headings to find detailed information in this set of volumes. Colors are produced by electrons in a pigment moving from one orbital transition to another around the atoms within the molecules of the colored substance. Visible reflectance or transmittance spectra demonstrate the various colors. The color appearance of the human eye to a particular visible spectrum is dependent on the light source color temperature and emission spectrum, the observer angle of observation, and the object background brightness and color differences. The size, direction, and scattering/absorption characteristics of the object also influences its color appearance. The basic seven colors first described by Isaac Newton, with corresponding wavelength scale in nanometers, consist of violet (360–415 nm); indigo (415–444 nm); blue (444–487 nm); green (487–540 nm); yellow (540–590 nm); orange (590–690 nm); and red (690–830 nm). A 12-color system, with corresponding wavelength information, is more common in modern terminology, although technically color is defined by a series of color measurement coordinate systems. These color measurement coordinate systems include XYZ tristimulus values; Yxy color space; L*a*b* color space; L*C*h color space; and Hunter Lab color space. These are described in detail within sections of these volumes (see index and coordinate system names for more information).
NIR spectroscopy is used where multicomponent molecular vibrational analysis is required in the presence of interfering substances. The NIR spectra consist of overtones and combination bands of the fundamental molecular absorptions found in the mid-infrared (MIR) region. NIR spectra consist of generally overlapping vibrational bands that are non-specific and poorly resolved. The use of chemometric mathematical data processing can be used to calibrate for qualitative or quantitative analysis despite these apparent spectroscopic limitations. Traditional NIR spectroscopy was used in agricultural product analysis for lignin polymers (2270 nm), paraffins, long alkane chain polymers (2310 nm), glucose-based polymers, such as cellulose (2336 nm), and amino acid polymers such as proteins (2180 nm), carbohydrates (2100 nm), and also moisture (1440 and 1940 nm). The dominant NIR spectral features include the methyl C-H stretching vibrations, methylene C-H stretching vibrations, aromatic C-H stretching vibrations, O-H stretching vibrations, methoxy C-H stretching, and carbonyl-associated C-H stretching. In addition, N-H from primary amides, secondary amides (both alkyl, and aryl group associations), N-H from primary, secondary, and tertiary amines, and N-H from amine salts predominate NIR spectral features of polymers and organic compounds.
IR spectroscopy provides a measurement technique for intense, isolated, and reliable absorption bands of fundamental molecular vibrations from polymers and other organic compounds. The spectrometric methodology allows for univariate calibration with higher signal strength (absorptivities) required for solid-, liquid-, or gas-phase measurements. Relatively small pathlengths of 0.1 to 1.0 mm are useful for hydrocarbon liquids and solids. The technique is generally incompatible with the use of fiber optics, but specialized fiber materials exist and the instrumentation costs more than NIR spectrophotometers for the most part.
Dominant IR spectral features include the C-H (methyl, methylene, aromatic, methoxy, and carbonyl) fundamental stretching and bending molecular vibrations; the O-H (hydroxyl) stretch fundamental vibrations; N-H (amine) stretching; C-F (fluorocarbon) stretching; -C≡N- (nitrile) stretching; -C=O (carbonyl) stretching from esters, acetates, and amides; C-Cl stretching from chlorinated hydrocarbons; and -NO2 from nitro-containing compounds.
Raman spectroscopy can be used for a variety of measurements on samples that are aqueous in nature or where glass sample holders are present. Carbon dioxide, water, and glass (silica) are weak scatterers, and thus, there is generally no problems in analyzing samples having these properties. There is typically no sample preparation involved in samples measured using Raman spectroscopy. It is complimentary to IR spectroscopy in the measurement of fundamental molecular vibrations, and Raman measurements are compatible with fiber optics. Raman measurements exhibit a high signal-to-noise ratio (S/N) and a reasonable cost for instrumentation. The dominant Raman spectral features are acetylenic -C≡C- stretching; olefinic C=C stretching at 1680–1630 cm-1; N=N (azo-) stretching; S-H (thio-) stretching; C=S stretching; C-S stretching; and S-S stretching bands. Raman spectra also contain such molecular vibrational information as CH2 twist and wagging; carbonyl C=O stretching associated with esters, acetates, and amides; C-Cl (halogenated hydrocarbons) stretching; and -NO2 (nitro-/nitrite) stretching. In addition, Raman yields information content of phenyl-containing compounds at 1000 cm-1.
The electromagnetic spectrum consists of many different types of radiation (energy), which include gamma, X-ray, ultraviolet (UV), visible (vis), IR, microwave, and radio waves (Figures 1–3). Each type of radiation occupies its own region of the electromagnetic radiation (EMR) spectrum, and the major difference between the individual spectral regions is merely the energy involved. This energy is expressed in units of photon energy (eV), frequency (Hz), wavenumber (cm-1), or wavelength (nm), as well as the way these energies interact with matter.
FIGURE 1: The electromagnetic spectrum highlighting the ultraviolet to infrared/Raman spectral regions. Ultraviolet through Infrared/Raman range is shown in the rectangle. This region is from 190 nanometers to 25,000 nanometers, or 0.19 to 25 microns and represents electronic transitions through vibrational absorptions.

FIGURE 2: Comparative Regions of the Electromagnetic Spectrum in wavelength (nanometers), wavenumbers, Frequency (Hertz), and Energy (electron Volts). Note that Raman measurements are currently made to Raman shifts as low as 100 cm-1.
.

FIGURE 3: Graphical Illustration of the Comparative Regions of the Electromagnetic Spectrum in wavelength (nanometers), wavenumbers, Frequency (Hertz), and Energy (electron Volts).

With the possible exception of gamma radiation, most people are familiar with these types of radiation through their experiences in daily living. X-rays penetrate our bodies, allowing physicians to visualize our internal anatomy. UV light is associated with sunburn and tanning. We see colors and objects in the visible spectrum. In the kitchen, we toast our bread with IR radiation, and “zap” our meals with microwaves. We use microwave transmission for cell phone technology, and we use radio waves to broadcast sound and images through AM and FM radio and television signals. The spectral region most useful in day-to-day analytical chemistry is the range of wavelengths from just below our visual perception (that is, UV) through the colors we do see (that is, visible or vis), known collectively as the UV-vis spectral region. The wavelengths covered in the UV-vis region are measured in nanometers (nm), a unit of length representing one billionth of a meter. The generally accepted ranges for the UV-vis region are UV (190–380 nm) and visible (380–750 nm). Some vis work overlaps with the neighboring shortwave NIR spectral region, from approximately 750–950 nm.
The units used to describe spectra for molecular spectroscopy vary with the academic or engineering discipline describing the spectral regions. For the most part, the spectra are described in terms of an optical response specific to energy from a particular spectral region. The responses are in terms of inelastic or elastic collisions of the energy with various materials. They are referred to as scattering, absorption, absorbance, reflection, transmission, and so on. The various spectral regions for molecular and electronic spectroscopy are described in terms of units of wavelength (for example, microns (μm) as 10-3 meters, or nanometers (nm) as 10-9 m, or angstroms (Å) as 10-10 m. Energy is also expressed as frequency (cycles per second) termed hertz (Hz), as wavenumbers (cm-1), and as electron volts (eV).
The various formulas used for the inter-conversion of units for spectroscopy include the following.
Light has both particle and wave properties; quantum theory tells us that the energy of a light “particle” or photon Ep is given by:

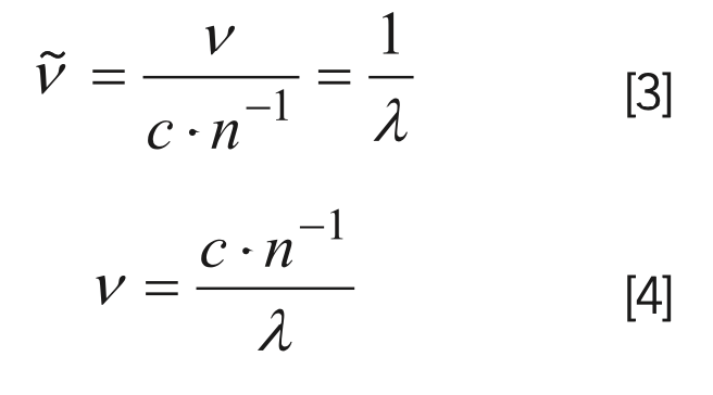
where h = Planck’s constant (or 6.6256 x 10 erg/sec; and ν (nu) is the frequency of light, also known as hertz (Hz) or the number of vibrations per second, in units of sec.-1; (nu tilde) is the wavenumber units as cm-1 (that is, the number of waves per centimeter); and c is the velocity of light in a vacuum (or 2.9979 x 10cm·sec-1).

where (nu tilde) is the wavenumber units as cm-1 (that is, the number of waves per centimeter); c is the velocity of light in a vacuum (or 2.9979 x 1010 cm·sec-1); ν is the frequency of light, also known as hertz (Hz) or the number of vibrations per second, in units of sec.-1); n is the refractive index of the medium the light is passing through (for example, air = 1.0003). Combining the above equations, we also note:

Wavenumbers (cm-1) to wavelength (in nanometers):

Wavelength (in nanometers) to wavenumbers (cm-1):

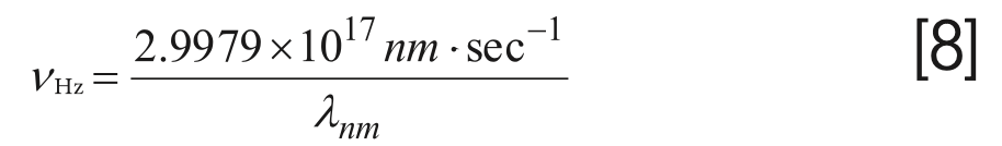
Wavelength (in nanometers) to frequency (in Hz):

Wavelength (in nanometers) convert to energy (in eV):

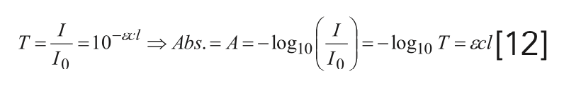
Spectroscopic measurements depend upon the principle that light energy interacting with a material will cause absorption at a specific frequency depending upon the chemical characteristics of that material. The amplitude of the absorption at any particular frequency (or wavelength or wavenumber) is determined by the absorptivity of the molecule being measured and the number of molecules encountered by the beam path of the measuring instrument. It is assumed that a change in spectral response is related to a concentration as described by the Bouguer, Lambert, and Beer relationship, most often termed Beer’s law. The Beer’s law relationship is described as the absorbance (A, AU, or signal strength) of an analyte being measured using a spectrophotometer is equivalent to the product of the absorptivity (ε) of a specific type of molecular vibration at a given frequency; the concentration (c) of the molecules in the measurement beam; and the pathlength (l) of the sample holder within the measurement beam. This relationship between measured spectral signal and concentration of a molecule is most often expressed as:

where ε is the molar absorptivity (referred to as molar extinction coefficient by earlier physicists) in units of Liter · Mole-1 · cm-1; c is the concentration of molecules in the spectrometer beam in units of Mole · Liter-1 (Note that this is a scaled volume fraction unit); and pathlength (l) is the thickness of the sample in units of cm of the measured sample at a specific concentration. The absorptivity for any specific molecule type is calculated by careful measurements of the absorbance of a compound, generally diluted in a suitable organic solvent, and by applying the relationship:

Note that for transmittance (where T = 0.0 to 1.0) and percent transmittance (where T = 0 to 100.0) spectroscopy, a more complete delineation of the relationships between the various terms is contained in an expression such as:

Here, the symbols I and I0 represent the attenuated energy detected after sample interaction and the initial energy incident to the sample, respectively. For reflectance (where R = 0.0 to 1.0) and percent reflectance (where R = 0.0 to 100.0) spectroscopy, the various relationships are expressed as:

Noting the relationship exists where the change in intensity (I) of the transmitted or reflected light from a sample is a function of the change in pathlength (l) of the sample as expressed by the absorptivity (ε) of a specific analyte (or molecular substance) and its concentration (c) by:

Modern spectrophotometers utilize these assumptions for making spectroscopic measurement and generally display spectroscopic data as transmission (T), reflection (R), and absorbance A (y-axis or ordinate axis) versus wavelength (nm, microns) or wavenumber (as x-axis, or abscissa axis).
(1) World Scientific,The Concise Handbook of Analytical Spectroscopy Home Page. World Scientific. Available at: https://worldscientific.com/worldscibooks/10.1142/8800 (accessed 2024-11-12).
(2) NIST, The NIST Reference on Constants, Units, and Uncertainty. NIST.gov. Available at: http://physics.nist.gov/cuu/Constants/index.html (accessed 2024-11-18).
(3) Roberts, C. A.; Workman, J.; Reeves, J. B., Eds. Near-Infrared Spectroscopy in Agriculture; ASA, CSSA, SSSA: 2004; pp xx–xxiii. Adapted with permission.
(1) Workman, J. The Concise Handbook of Analytical Spectroscopy: Theory, Applications, and Reference Materials (In 5 Volumes); World Scientific; 2016. DOI: 10.1142/8800. Book Home Page: https://worldscientific.com/worldscibooks/10.1142/8800
Jerome Workman, Jr. serves on the Editorial Advisory Board of Spectroscopy and is the Executive Editor for LCGC and Spectroscopy. He is the co-host of the Analytically Speaking podcast and has published multiple reference text volumes, including the three-volume Academic Press Handbook of Organic Compounds, the five-volume The Concise Handbook of Analytical Spectroscopy, the 2nd edition of Practical Guide and Spectral Atlas for Interpretive Near-Infrared Spectroscopy, the 2nd edition of Chemometrics in Spectroscopy, and the 4th edition of The Handbook of Near-Infrared Analysis.
JWorkman@MJHlifesciences.com ●

Get essential updates on the latest spectroscopy technologies, regulatory standards, and best practices—subscribe today to Spectroscopy.