
- Special Issues-08-01-2020
- Volume 35
- Issue S3
Optical Measurement of the Reflectance Behavior of Z93, the Thermal Coating on the International Space Station
Measurements of the optical proper ties of a ceramic material, Z93, which is in current use on the International Space Station (ISS), reveal why this material is successful for thermal control in the ISS implementation, and also point to potential future material design improvements.
Space-based construction materials must meet a range of requirements: mechanical robustness, lightweight characteristics, and tolerance to heat (due to extreme exposure to solar radiation). There are three optical requirements for heat management: the solar reflectance must be sufficiently high, the thermal emissivity must be sufficiently high, and the surface must be diffuse. These properties ensure that the spacecraft will remain cool, and the thermal control material will perform over a wide range of exposure angles. Here, we examine a ceramic material, Z93, which is in current use on the International Space Station (!SS). Measurements of the optical properties reveal why Z93 is successful in the ISS's implementation, and also point to potential future material improvements.
Modern materials are being developed to meet demanding requirements in terrestrial construction, military operations, and spacecraft. An increasingly crucial concern is heat management. This is controlled through the response to incident radiation. As an example, low-emissivity glass (low-E glass) being used in window construction reflects infrared (IR) and ultraviolet (UV) light, preventing their penetration into the structure, keeping it cooler in the summer. In the winter, this effectively reverses as the glass is used to reflect the IR (heat) into the structure, preserving the internal heat. In both cases, the impinging radiation may come from a wide range of geometries (angles).
In military applications, heat-seeking devices use IR radiation to identify and track potential targets. High-tech materials can reduce the IR signature through reflection and absorption. It is not possible to predict the exact angle at which the incoming IR-homing device will approach, meaning the material must respond over a wide range of angles of incidence as well as over an array of frequencies.
Space-based operations stretch this even further. To protect sensitive instrumentation and personnel, the surface must meet three main criteria: high solar reflectance, high thermal emissivity, and the surface must be diffuse. These ensure the vehicle remains cool and the thermal coating will operate over a wide range of exposure geometries. In a high-profile example of the impact of this, Skylab sustained damage to the micrometeoroid shield that removed much of the protection from solar radiation; this damage led to severe overheating of the interior. The orbital repair (the first of its kind) featured the addition of a solar "umbrella" shield, which restored sufficient insulation to permit operations. On the International Space Station (ISS), the lightweight ceramic material Z93 was used as an insulator, being more robust than that ultra-thin metalized mylar, such as used on the Lunar Landing Module.
We present here optical measurements on Z93 revealing the heat management characteristics of the material when exposed to intense solar radiation.
Experimental
The measurements were made using an SOC-100 Hemispherical Directional Reflectometer (HDR, Surface Optics Corporation) coupled to a Thermo Scientific Nicolet iS50FT-IR spectrometer (1,2). Figure 1 shows a schematic view of the HDR. The HDR uses a large, elliptical reflection hemisphere with the source built into the HDR at one focal point, and the sample at the other focal point. The elliptical hemisphere ensures the emitted source light is focused onto the sample over the full range of angles all at once (rather than using a directed beam, as in
integrating spheres).
A mirror on a moving arm automatically sweeps through the reflected radiation, sending the selected angle of reflected radiation to the FT-IR spectrometer entrance port. This reflected radiation is shown as a conical section emanating from the sample in Figure 1. The arm sweeps over the full range of polar angles and directs the light to the spectrometer. A blocker mounted in the HDR can remove the specular reflected radiation, allowing independent determination of the specular and diffuse components in the total reflection. A polarizer mounted in the HDR just in front of the entrance aperture of the spectrometer functions to account for any polarization bias in the spectrometer. Also, the sample can be heated in the sampling location, permitting emissivity measurements and the determination of the temperature dependence of the reflectivity.
The automation in the SOC-100 enables the moving arm mirror to sweep through a wide range of angles or be fixed at selected angles to probe the directional properties of the reflectivity. The light reflected from the rotating arm enters the spectrometer emission port, and then passes through the interferometer and onto the deuterated L-alanine triglycine sulfate (DLaTGS) detector.
A sample of Z93 white thermal control coating was studied. Developed for use on spacecraft, Z93 was one of the original coatings tested on the National Aeronautics and Space Administration (NASA)’s Long Duration Exposure Facility in the Thermal Control Surfaces Experiment in the 1980s (1). The coating is currently used on the surface of the ISS. It is composed of zinc oxide pigment in a potassium silicate binder. The material appears as a white ceramic. Scanning electron microscope (SEM) data reveal a microporous structure, consistent with the need in the application for a diffuse surface; this ensures reflectivity over the wide range of exposure geometries possible in space.
Results
The reflectance of Z93 measured from 250 to 2500 nm is shown in Figure 2. This measurement is made by illuminating the sample at a particular angle and frequency and capturing the reflection over the entire hemisphere using an integrating sphere. This measurement is an example of directional hemispherical reflectance (DHR). DHR is a standard integrating sphere type of measurement, where the excitation beam is directional, while the reflectance is measured over the full hemisphere. The DHR for Z93 is low in the UV range, then quickly rises to over 90% in the visible (starting in the deep blue), and slowly tapers off in the near-infrared range (NIR). This measured reflectivity of Z93 corresponds closely to the spectral profile of extraterrestrial solar irradiance (maximum
at 500 nm).
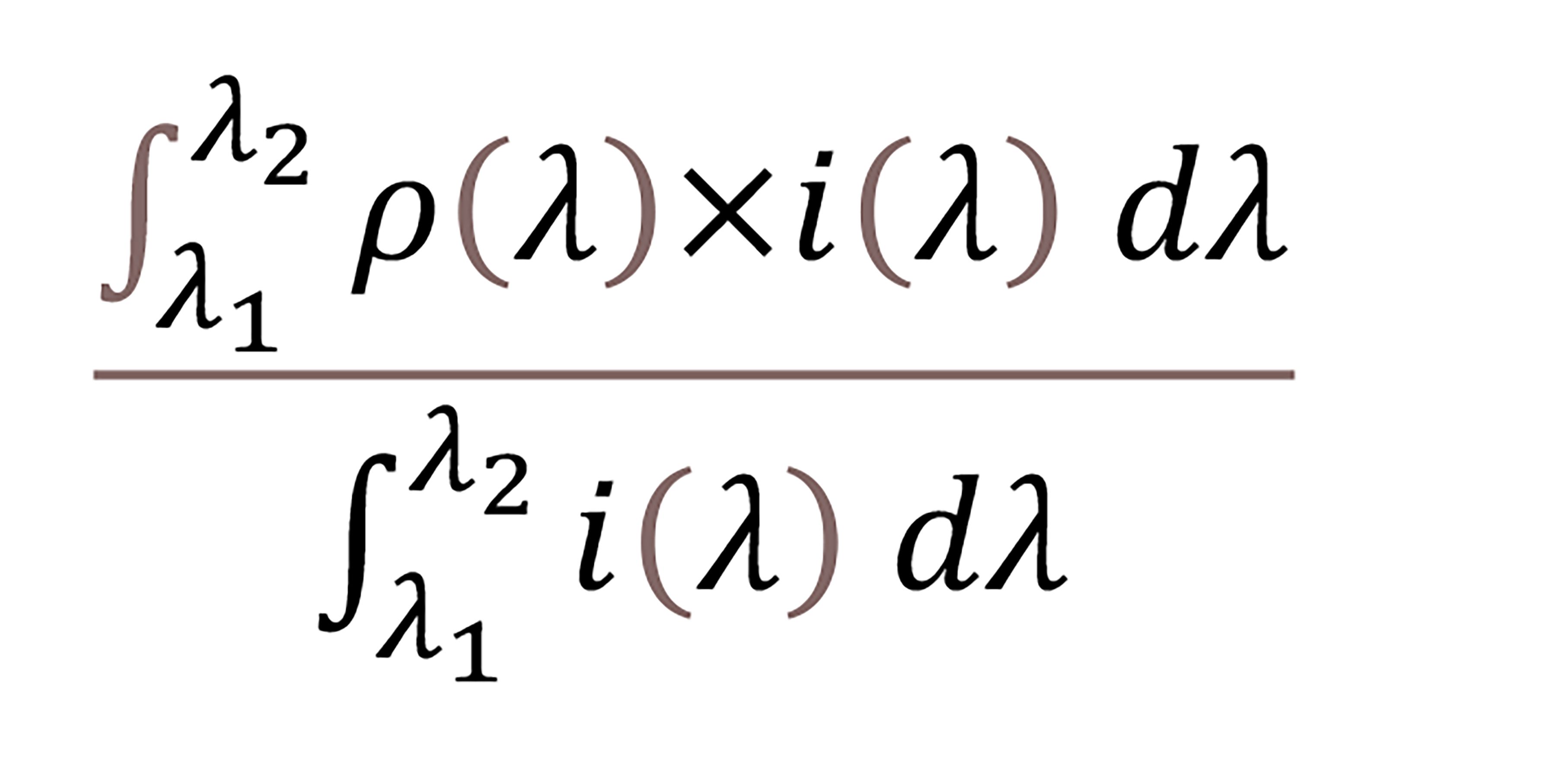
The solar reflectance was calculated according to ASTM E903 using the spectral solar irradiance defined in ASTM E490. The solar reflectance is the percentage of solar radiation that is reflected by a material and is calculated using the equation below:
[1]
where ρ(λ) is the measured spectral reflectance and i(λ) is the spectral solar irradiance function. Using the measurement in Figure 1, the solar reflectance was determined to be 86.5%. This means that 86.5% of the solar radiation incident on the material is reflected, or 13.5% is absorbed. This is in agreement with NASA’s results in the thermal control surfaces experiment (TCSE) and was found to be sufficiently high for operation in space (3).
The reflectance in the IR range was measured from 2 to 25 μm and is shown in Figure 3. Unlike the DHR above, the source (located at one focus of the elliptical mirror) emission is directed by the large mirror onto the sample from all angles at once, but the rotating arm collected the light reflected from the sample as an automatically selected angle; this mirror directs that reflection into the input aperture of the spectrometer. This measurement is called hemispherical directional reflectance (HDR) and is mathematically equivalent to the DHR when summed over the full range of angles. The reflectance was measured at 12 different angles ranging from 8.0° to 80.0°. It is important to have measurements across the entire hemisphere to accurately calculate emissivity. The reflectance starts high in the near-infrared spectral range up to approximately 2 to 3 μm (as shown also in Figure 2), and then drops significantly from 3 to 16 μm, and rises a small amount after 16 μm. There is an increase reflectivity with the approach to a grazing angle, which is expected.
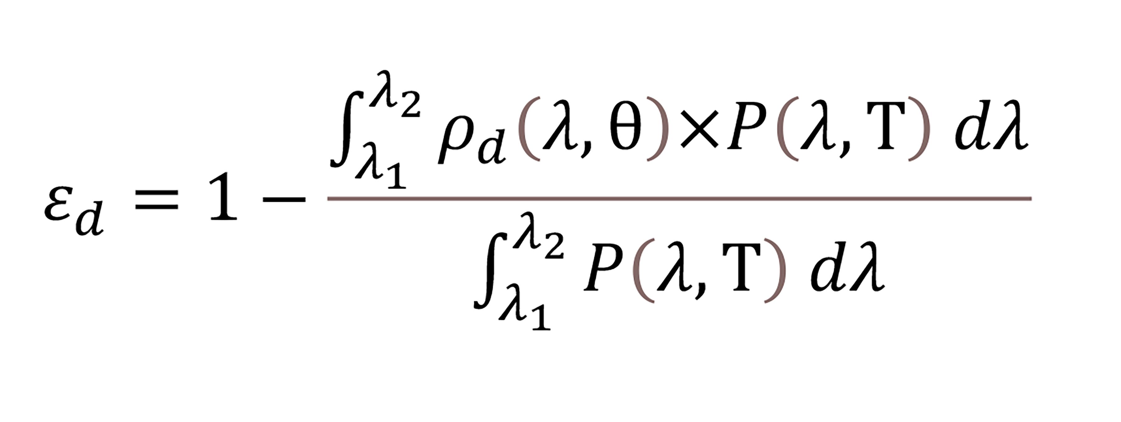
For each reflectance spectrum above, the directional emissivity can be calculated as follows:
[2]
where P is Planck’s blackbody function and ρd is the measured reflectance at a particular angle. With sufficient directional emissivity data spanning the entire hemisphere, the total hemispherical emissivity can be calculated by integrating over the entire hemisphere:
[3]
The two calculations above were performed using temperatures ranging from 100 to 400 K, which is roughly the temperature range experienced outside the ISS. Over this range, the total emissivity remains relatively constant (Figure 4), averaging about 0.907. This means that Z93 emits 90.7% of the energy of a blackbody at the same temperature. Again, this is in agreement with NASA’s results in the TCSE and was found to be sufficiently high for operation in space (3).
Finally, the specular and diffuse components of the total reflectance were measured at two different angles using the blocker. These measurements are shown in Figure 5. At an angle of 10°, the diffuse component is the dominant reflectance characteristic and it remains so until about 22 μm. Contrastingly, at 70°, the diffuse component drops below the specular component at about 8 μm. Generally, diffuse materials become increasingly specular in behavior at steeper angles, as seen experimentally and which can be shown with simple geometric optics arguments. Because the reflectance is quite low (emissivity is high), Z93 is an effective thermal control coating. This explains its successful use on the surface of the ISS for 10 years. It is interesting to note, Z93 transitions from diffuse to specularly reflecting at long wavelengths. By 17 μm at 70°, Z93 is about 30% reflective and mostly specular. This long-wavelength behavior could be an area for development in future thermal control coatings.
Conclusion
Materials involved in heat management, such as those used on space-based vehicles, require a complete understanding of reflectivity, emissivity, and direction bias in those properties. HDR provides a full range of measurement capabilities enabling improved design and fabrication of these materials. With the growth in terrestrial interest in similar performance improvements for energy conservation and military hardware protection, this type of measurement has
broad applicability.
Z93 is effective in its role as a result of combined high reflectivity and emissivity. Although the relative impact of different aspects of the optical performance varies with the angle of incidence, the overall performance remains well within the design threshold for use in extended duration space-based applications. Future material improvement may focus on the long wavelength change in performance.
References
- J.T. Neu, M.T.Beecroft, and R.Schramm, Stray Radiation in Optical Systems III 2260, 62–73 (1994).
- M.J. Persky and M. Szczesniak, Appl. Opt. 47(10), 1389–1396 (2008).
- Final report for the TCSE under NASA Contract NAS8-38939. D.R. Wilkes, Thermal Control Surfaces Experiment (Doc, ID 19990021250, NASA, 1999).
Michael S. Bradley is a Product Manager at Thermo Fisher Scientific in Madison, Wisconsin.Chet Szwejkowski and Martin Szczesniak are with Surface Optics Corporation in San Diego, California. Direct correspondence to:
Articles in this issue
Newsletter
Get essential updates on the latest spectroscopy technologies, regulatory standards, and best practices—subscribe today to Spectroscopy.





